By Marc-David L. Seidel, University of British Columbia; Dennis Ma, University of British Columbia, and Marjan Houshmand, University of Hawaii
If your teenager heads back to school next year, you might be already thinking about what after-school activities they’re going to do. Footy? Netball? Soccer? Recent research shows that another option — adolescent work experience — can pay big dividends later in life.
Many schools and parents push children to engage in excessive after-school activities.
Meanwhile, adolescent work has been increasingly categorised as non-desirable and only for those facing the demands of poverty. Yet more than 50 percent of US high school students in their final year work, suggesting teen work is more than a product of income inequality.
In fact, recent research shows work experience has many positive impacts for all. Students can learn many life skills through working, and if teenage job opportunities are overlooked, they can miss out on many benefits. The benefits are both short-term and long-term.
Benefits of teen work
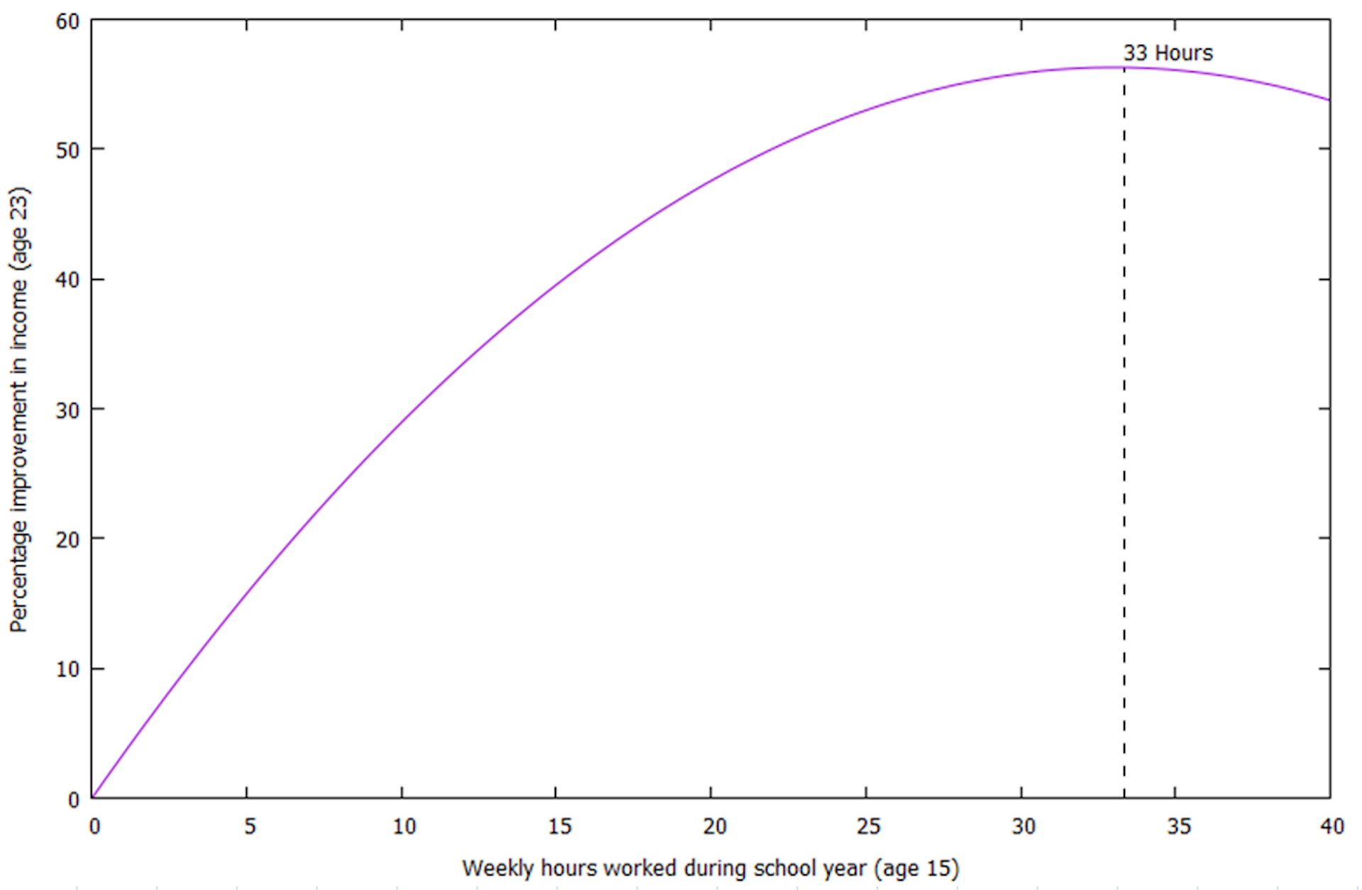
In research we report in Research in the Sociology of Work, we analysed the Youth in Transition Survey data collected jointly by Statistics Canada and Human Resources and Skills Development Canada. The data represents 246,661 Canadian youth in 2009 tracked from the ages of 15 to 25. This long time frame allowed us to look at the longer term impacts of working as a teen.
Working year-round at the age of 15 led to a higher chance of being employed at 17 to 21. But what of the quality of the work? Those who worked year-round at 15 had higher incomes at ages 17 to 25, and at ages 21 to 23 had higher quality job matches.
Listen: Kids these days don’t want to be firemen or nurses, they just want to be YouTube famous. Post continues after audio.























